码迷,mamicode.com
首页 > 编程语言 > 详细

图解Python变量与赋值

时间:2018-01-12 14:20:40      阅读:194      评论:0      收藏:0      [点我收藏+]

标签:pytho   alt   atq   neu   函数   初学   code   内存地址   otto   

Python是一门独特的语言,与C语言有很大区别,初学Python很多萌新表示对变量与赋值不理解,学过C的都知道,给变量赋值时,需要先指定数据类型,同时会开辟一块内存区域,用于存储值,例如:

int a = 1;

技术分享图片

a 就是内存空间中的一小块区域,就像是一个大房间里面的一个小盒子,赋值就是把整数1装载到盒子里面。

现在给变量a重新赋值

a = 2;

技术分享图片

盒子依然是那个盒子,也就是说内存地址没有变,只是该段内存中的值变了,变成了2。

再来看:

int b = a;

技术分享图片

当把变量a赋值给另外一个变量b时,相当于把值拷贝了一份传递给变量b,b是新开辟的一段内存区域

而在Python中,“变量”的严格叫法是“名字(name)”,也可以理解为标签,就像我们人的姓名一样,名字就是挂在人身上的一个标签。

>>> 10-a
Traceback (most recent call last):
 File "<stdin>", line 1, in <module>
NameError: name 'a' is not defined

比如上面这段错误报的是name ‘a’ 没有定义,而没有说成 variable。

在Python中,给变量赋值就是相当于给对象贴标签,就像我们给人取名字一样,变量本身是没有任何意义的,它没有类型信息,真正的信息都在对象身上。

例如:

a = 1

技术分享图片

Python内部首先会分配一段内存空间用于创建整数对象1,然后给这个1贴上名为a的标签。

然后执行

a=2

Python接着会在另一块内存区域创建整数对象2,然后把标签a从1身上撕下来贴在2身上,此时,我们没法再通过a来得到1这个值了。

技术分享图片

现在把名字a赋值给另外一个名字b

b = a

技术分享图片

相当于在刚才的2身上又贴了一个新的标签b,注意,这里和C语言是完全不一样的,定义b的时候不需要分配内存空间,这样我们既可以通过a来访问2也可以通过b来访问2,访问的都是同一个对象,就好比我们给宝宝取名时既有小名也有大名,其实叫的都是同一个人。

虽然我们通常在Python中还是用”变量”的叫法(因为在编程语言中这是一种通用叫法),但是我们需要理解Python中的变量不同于其他语言,变量只是一个名字。

理解了Python中的变量与赋值后,再来看函数的参数传递,如下所示:

>>> def fun_a(a):
...    a = a+4
...
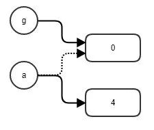
>>> g = 0
>>> fun_a(g)
>>> g
0

全局变量g传递给函数fun_a时,相当于函数中的参数a也将作为标签贴在0上,随后a被重新赋值了(a=a+4),相当于从0撕下标签a贴到4身上,然后g依然还是0上面的标签。

技术分享图片

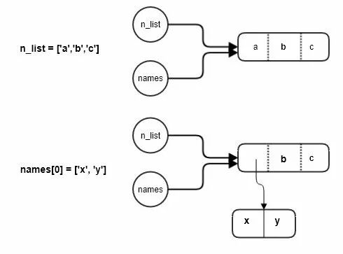
再来看这个函数,传递的是一个列表对象

>>> def fun_b(names):
...    names[0] = ['x', 'y']
...
>>> n_list = ['a','b','c']
>>> fun_b(n_list)
>>>
>>> n_list
[['x','y'], 'b', 'c']

与前面的步骤还是一样的,names 和 n_list 都是[‘a’,’b’,’c’]上的一个标签,只是列表中的第0个元素被重新赋值了,但是names和 n_list 依然都贴在这个列表对象身上,虽然 n_list的值更新了,但对象依然是原来那个对象。就好比张三和小张都是同一个人,现在给小张换件衣服时,其实就是给张三换件衣服,人还是那个人,只是它身上的东西发生了变化。

技术分享图片

文章首发于微信公众号:Python之禅

图解Python变量与赋值

标签:pytho   alt   atq   neu   函数   初学   code   内存地址   otto   

原文地址:http://blog.51cto.com/9478652/2060200

(0)
(0)
   
举报
评论 一句话评论(0
登录后才能评论!
© 2014 mamicode.com 版权所有  联系我们:gaon5@hotmail.com
迷上了代码!