码迷,mamicode.com
首页 > 编程语言 > 详细

图说十大数据挖掘算法(一)K最近邻算法

时间:2018-12-30 16:21:01      阅读:196      评论:0      收藏:0      [点我收藏+]

标签:moc   分享   bsp   omd   cgi   ibus   gre   小常识   电影   

技术分享图片

 

技术分享图片

 

技术分享图片

如果你之前没有学习过K最近邻算法,那今天几张图,让你明白什么是K最近邻算法。

 

先来一张图,请分辨它是什么水果

技术分享图片

 

很多同学不假思索,直接回答:“菠萝”!!!

仔细看看同学们,这是菠萝么?那再看下边这这张图。

技术分享图片

这两个水果又是什么呢?

这就是菠萝与凤梨的故事,下边即将用菠萝和凤梨,给大家讲述怎么用一个算法来知道这是个什么水果的过程,也就是什么是K最近邻算法。

 

(给非吃货同学们补充一个生活小常识,菠萝的叶子有刺,凤梨没有。菠萝的凹槽处是黄色的,而凤梨的凹槽处是绿色的,以后千万不要买错哦!!!)

技术分享图片

上边这张图中,我们定义了两个维度的特征:

  • 一个是叶子是否有刺

  • 一个是凹槽处是否的颜色

 

问:一个新的水果来了,我们怎么判断他是什么水果呢?

技术分享图片

方法如下:

 

技术分享图片

(看这个神秘水果与哪个水果的举例近。同等举例,看离它最近的水果中,哪个水果多)

根据上图中,我们判断,这个神秘水果那就是菠萝啦,原因是离它近的水果中菠萝比凤梨多。

 

相信到这里,大家都已经明白了什么是K最近邻算法了吧!

 

 

 

假设我们有3中不知名的水果

技术分享图片

我们现在根据其大小和颜色的特征,把它们放入图表中

技术分享图片

那如我们如何判断他们有多像呢?

技术分享图片

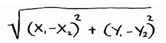
具体的计算,可以使用毕达哥拉斯公式

技术分享图片

那现在来计算水果A和水果B之间的距离

技术分享图片

技术分享图片

 最后的计算结果为1

 

那么同理,如果要让你去做一个推荐系统,我们可以把人的用户画像放在一个表格里

技术分享图片

如果我们给其中一个人推荐他可能感兴趣的书、电影、美食等,就可以看一下离他最近距离的这些人都在做什么,然后就套用下边的公式就可以了

技术分享图片

无论多少维度,直接套用就可以了。

图说算法,是不是非常的简单就理解了KNN。

图说十大数据挖掘算法(一)K最近邻算法

标签:moc   分享   bsp   omd   cgi   ibus   gre   小常识   电影   

原文地址:https://www.cnblogs.com/hadoop2015/p/10199563.html

(0)
(0)
   
举报
评论 一句话评论(0
登录后才能评论!
© 2014 mamicode.com 版权所有  联系我们:gaon5@hotmail.com
迷上了代码!