码迷,mamicode.com
首页 > 其他好文 > 详细

电源分配系统及电源完整性

时间:2016-11-12 01:54:32      阅读:239      评论:0      收藏:0      [点我收藏+]

标签:稳定性   尺寸   blog   常见   相同   strong   设计   1.2   效率   

所谓电源分配系统(PDS)是指将电源(Power Source)的功率分配给系统中各个需要供电的设备和器件的子系统。在所有的电气系统中均存在电源分配系统,譬如一栋大楼的照明系统,一台示波器,一块PCB板,一个封装,一个芯片,其内部均存在电源分配系统。

  1. PCB上的电源分配系统

    在一般的产品中,电源分配系统包含从电压调节模块(VRM)到PCB板、封装,再到芯片内所有的互连。可分为四个区段:

  • 电压调节模块(VRM)包括其滤波电容——电源;
  • PCB板上的Bulk电容、高频去耦电容、互连线、过孔、电源/地平面——PCB上的电源分配系统;
  • 封装管脚、键合线、互连及嵌入式电容器——封装上的电源分配系统;
  • 芯片内互连及电容等——芯片内的电源分配系统。

本文主要讨论第2部分,即PCB上的电源分配系统,其余内容均不在本文的讨论范围之内。

所谓PCB上的电源分配系统是指PCB上将电源(Power Source)的功率分配给各种需要供电的芯片和器件的系统。本文主要关注PCB上的电源分配系统,所以我们约定下文中提到的电源分配系统或者PDS均指的是PCB上的电源分配系统。

电源分配系统的作用是传输正确稳定的电压,其含义是使得在PCB上所有位置的电压在任何的负载的情况下均可以保持正确和稳定。研究电源分配系统正确稳定地工作的相关内容,我们称之为电源完整性问题。

  1. 电源完整性

    所谓电源完整性是指系统供电电源在经过电源分配系统后在需要供电的器件端口处相对于该器件端口对工作电源要求的符合程度。

    一般而言,PCB上需要供电的器件对于工作电源都有一定的要求,以芯片为例,通常表现为三个参数:

  • 极限供电电压:指芯片的供电管脚所能承受的极限的供电电压。芯片的供电电压不能超过该参数的要求范围,否则可能会对芯片造成永久性的损伤;在该范围内,芯片的功能是不被保证的;芯片处于该参数的极限值一定时间,将会影响芯片的长期稳定性;
  • 推荐工作电压:指要使得芯片正常可靠地工作,芯片供电管脚的电压需保证满足的范围,通常用"V±x%"来表示,其中V是芯片供电管脚典型的工作电压,x%为允许的电压波动范围,常见的x为5或者3;
  • 电源噪声:指要使得芯片正常可靠地工作,芯片供电管脚电压上允许的纹波噪声,通常用其峰-峰值来表征。

芯片的Datasheet通常会提供对"极限供电电压"和"推荐工作电压"的要求,对于"电源噪声"不一定会单独提供,这时它可能被包含在参数"推荐工作电压"之中。而"电源噪声"是本文论述的重点,后续将单独讨论。

以上述的例子来说明,电源完整性的问题就是讨论系统供电电源经过电源分配系统后在芯片不同的供电管脚处相对于该芯片管脚对供电电源的"极限供电电压"、"推荐工作电压"和"电源噪声"等要求的符合程度。

  1. 电源分配系统的三种特性

    电源分配系统的物理介质多种多样,包括接插件(Connector)、线缆、传输线(Trace)、电源层(Power Plane)、地层(GND Plane)、过孔(Via)、焊锡、焊盘(Pad)、芯片管脚等等,它们的物理特性(材料、形状、尺寸等)各不相同。由于电源分配系统的目的是将系统电源的功率提供给需要供电的器件,提供稳定的电压和完整的电流回路,所以我们仅关注电源分配系统的三种电气特性:电阻特性,电感特性和电容特性

  2. 电阻特性

    电阻是表征导体对直流电流的阻碍作用的物理量,通常用R表示,它的主要物理特征是当有电流I流过时将电能转化为热能(I2R),并在其两端产生直流压降(IR)。

    电阻是导体本身的特性,它与导体的温度,材料,长度和横截面积相关,由式1.1决定:

    技术分享????????????????????????(

    1.1)

    技术分享——导体的电阻率

    技术分享——导体的长度

    技术分享——导体的横截面积

    其中技术分享是导体的物理特性且与温度有关,金属的电阻率一般随着温度的升高而升高。

    在电源分配系统中处处都存在电阻:线缆和接插件存在直流电阻和接触电阻,铜线、电源层、地层、过孔均存在分布电阻,焊锡、焊盘、芯片管脚均存在直流电阻且它们之间存在接触电阻。

    这些电阻在有电流流过时,会产生两种效应:

  • 直流压降(IR Drop):该效应会导致电源电压沿着电源分配网络而逐渐降低,或者导致参考地的电压升高,从而降低需供电器件端口的电压,引起电源完整性问题;
  • 热损耗(Thermal Power Dissipation):该效应将电源的功率转换为热,同时造成系统温度升高,危害系统的稳定性和可靠性。

将电源分配系统的电阻和负载等效为如图 1.1所示的电路:

技术分享

1.1 电源分配系统的电阻和负载的等效电路图

其中,Vsource表示电源电压,Voutput表示输出电压,RS表示电源内阻,R1表示电源路径上的分布电阻,R2表示返回路径上的分布电阻,假设回路电流为I,则负载的供电电压如式1.2所示:

技术分享????????(

1.2)

RS上的压降IRS会减小电源的输出电压Voutput,电源路径上的压降IR1减小负载的供电电压Vcc,返回路径上的压降IR2抬高负载的GND电平。上述的电阻RS 、R1 、R2的压降均会导致负载的供电电压VCC-GND的减小,引起电源完整性的问题。

电源分配系统的电阻上产生的热损耗会使得电源的功率转换为热而白白耗散掉,从而降低系统的效率。同时发热会引起系统温度升高,降低部分器件(比如电解电容)的寿命从而影响系统的稳定性和可靠性,某些区域电流密度过大还会引起局部温度持续升高甚至烧毁。

从上述分析可以看出,这两种效应对系统均是有害的,且它们的影响与电阻阻值的大小成正比,因此减小电源分配系统的电阻特性是我们的设计目标之一。

  1. 电感特性

    电感是表征导体对交变电流阻碍作用的物理量。当导体中流过电流时,在导体周围会形成磁场,当电流发生变化时,磁场也会随之变化,变化的磁场将在导体两端形成感应电压,该电压的极性将使所产生的感应电流阻碍原电流的变化;当导体周围的其他导体中有电流变化引起该导体周围的磁场变化,同样会在该导体中产生感应电压,该电压的极性将使所产生的感应电流阻碍原电流的变化。这种导体阻碍电流变化的作用称为电感,前者称为自感L,后者称为互感M。在这里我们直接给出互感的两个特性:

  • 对称性:两个导体a和b,不管大小、形状和相对位置如何,导体a对导体b的互感与导体b对导体a的互感相等,即互感是两个导体同等共有的;
  • 互感小于自感:任意两个导体的互感小于二者中任意一个导体的自感。

上述电流变化产生的感应电压的值由式1.3和1.4决定:

技术分享????????????????????????(

?

1.3)

技术分享???????? ????????????????(

1.4)

这种由电流变化引起的感应电压在信号完整性(包括电源完整性)中意义重大,它可以引起传输线效应、突变、串扰(Crosstalk)、同步开关噪声(SSN)、轨道塌陷(Rail Collapse)、地弹(Ground Bounce)和大多数的电磁干扰(EMI)

在电源分配系统中,电感普遍存在,接插件、线缆、铜线、电源层、地层、过孔、焊盘、芯片管脚等均存在电感,同时相互靠近的导体之间存在互感。

为了便于分析,考虑如图 1.2所示的电流回路,平行的支路a与支路b及短暂的折回构成完整的电流回路。这种结构是非常常见的,支路a可以表示信号路径或者电源路径,支路b表示其返回路径,比如芯片封装上的相邻的电源管脚和返回管脚(地管脚),去耦电容到芯片管脚的电源过孔和返回过孔(地过孔),PCB上相邻的电源平面和返回平面(地平面)。

技术分享

1.2 两个支路的电流回路:初始电流和返回电流

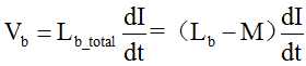
假设支路a的局部自感为La,支路b的局部自感为Lb,这两条支路之间的局部互感为M,回路中的电流为I。由于两条支路平行且流过的电流方向相反,所以它们产生的磁场方向相反,假设I增大,对支路a而言,La产生的感应电压的极性会阻碍支路a中I的增大,而M产生的感应电压的极性却会帮助支路a中I的增大。所以支路a的总电感为支路a的自感和两支路互感的差,支路b的总电感同理可得,如式1.5和1.6式所示:

技术分享????????????????????(

1.5)

技术分享????????????????????(

1.6)

结合式1.3和式1.4,当回路电流I变化时,在支路a和支路b引起的感应电压分别为:

技术分享????????????????????(

1.7)

技术分享????????????????????(

1.8)

如果以支路a表示电源路径,以支路b表示返回路径,则Va表示电源路径上的电源噪声(轨道塌陷/电源反弹),Vb表示返回路径上的轨道塌陷/地弹噪声。这两种噪声均会导致供电电压的不稳定,引起电源完整性的问题,因此我们的设计目的之一就是最小化上述的两种电压,有两条途径:

  • 尽可能减小回路电流的变化率:这意味着需减小负载汲取电流的突变速度,限制共用电源路径和返回路径的供电端口的数目;
  • 尽可能减小支路总电感:这意味着需减小支路的局部自感和增大两支路之间的局部互感,减小支路的局部自感意味着需使用尽可能短、尽可能宽的电源路径和返回路径,增大局部互感则意味着需使两条支路在平行且反向的前提下尽可能地靠近。

从上述分析可以看出,电流变化时由电感引起的感应电压是电源完整性中许多问题的根源,因此减小电源分配系统的上述的感应电压是我们的设计目标之一。

  1. 电容特性

    电容是对两个导体在一定电压下存储电荷能力的度量。如果给两个导体分别加上正电荷和负电荷,则两个导体之间就会存在电压。这对导体的电容量就是单个导体上所存储的电荷量与导体间电压的比值:

    技术分享????????????????????????(

    1.9)

    技术分享——表示电容,单位为法拉(F)

    技术分享——表示电荷数,单位为库伦(C)

    技术分享——表示导体间电压,单位为伏特(V)

    当两个导体间的电压发生变化时这两个导体之间会有电流流过,流过的电流可以表示为式1.10:

    技术分享????????????????????????(

    1.10)

    当dV/dt保持不变时,电容量C越大,流过电容的电流就越大,也就是说电容可以以电压变化为代价向外提供电流,只要电容C足够大,只要很小的电压变化就可以提供足够大的电流。

    在电源分配系统中电源路径和返回路径之间存在电容,其等效电路如图 1.3所示:

    技术分享

    1.3 电源路径与返回路径之间的电容的等效电路图

  • 当负载电流不变时,其电流由稳压电源部分提供,即图中的IS,此时电容两端电压与负载两端一致,IC=0;
  • 当负载瞬态电流发生变化时,必须在极短的时间内为负载芯片提供足够的电流。但是电源无法很快响应负载电流的变化,即电流IS不会马上满足负载瞬态电流要求,负载的电压会降低。但是由于电容电压与负载电压相同,因此电容两端存在电压变化。对于电容来说电压变化必然产生电流,此时电容对负载放电,电流IC不再为0,为负载芯片提供电流。

从上述分析可以看出,电源分配系统的电容可以为负载提供瞬态电流,阻碍电压瞬态变化,对于负载的供电端口的电源完整性是有益的,所以增强电源分配系统的电容特性是我们的设计目标之一。

  1. 小结

    电源分配系统是本文主要的讨论对象,研究其工作的相关内容是电源完整性的问题。电源分配系统分别具有电阻特性、电感特性和电容特性,电阻特性和电感特性对电源完整性是有害的,电容特性对电源完整性是有益的。我们的设计目标是减小甚至消除电阻特性和电感特性的影响,增强电容特性的影响。

电源分配系统及电源完整性

标签:稳定性   尺寸   blog   常见   相同   strong   设计   1.2   效率   

原文地址:http://www.cnblogs.com/shenhaocn/p/6055878.html

(0)
(0)
   
举报
评论 一句话评论(0
登录后才能评论!
© 2014 mamicode.com 版权所有  联系我们:gaon5@hotmail.com
迷上了代码!