码迷,mamicode.com
首页 > 其他好文 > 详细

(转) GAN应用情况调研

时间:2017-02-20 10:46:22      阅读:1229      评论:0      收藏:0      [点我收藏+]

标签:代码   做了   generator   交互式   fga   概率   基础   ado   pos   

 

 

本文转自: https://mp.weixin.qq.com/s?__biz=MzA5MDMwMTIyNQ==&mid=2649290778&idx=1&sn=9816b862e167c4792f4251c199fcae16&chksm=8811ee5cbf66674a54e87bc3cef4937da6e5aac7599807754731ab777d359b219ac6de97616e&mpshare=1&scene=2&srcid=0219a2eBxTk422jOeh9mSxr6&from=timeline&key=d5aa2529cd509c24d0b323552433a61be5181e60aca7ca468b4ed92f98d30c3cd3305fa1695215de157c8fcd8718c461b3382c2472f5b7e1c3c686be2871009911eaf51e1d7afa86e5a87b470d3c7e5f&ascene=2&uin=MTgwOTU2NjU0MQ%3D%3D&devicetype=android-24&version=26050434&nettype=WIFI&abtest_cookie=AQABAAgAAQBChh4AAAA%3D&pass_ticket=bMwVMQ2K1X9RvTCJaBHIfrq9%2BOLAbQeQmw8cLAK33TF40zlmdma44fhN5bVmW1Vq&wx_header=1

 

 

GAN应用情况调研

2017-02-19 Gapeng CreateAMind

转自公众号  学术兴趣小组

 

 

今天我们来聊一个轻松一些的话题——GAN的应用。

 

在此之前呢,先推荐大家去读一下一篇新的文章LS-GAN(Loss-sensitive GAN)[1]。

 

这个文章比WGAN出现的时间要早几天,它在真实分布满足Lipschitz条件的假设下,提出了LS-GAN,并证明了它的纳什均衡解存在。它也能解决generator梯度消失的问题,实验发现不存在mode collapse的问题。

 

作者齐国君老师在知乎上写了一篇文章介绍LS-GAN,建议感兴趣的童鞋也去阅读一下,地址:

条条大路通罗马LS-GAN:把GAN建立在Lipschitz密度上

 

回到今天的主题GAN的应用上来。GAN的应用按照大类分为在图像上的应用、在NLP上的应用,以及与增强学习结合。我们分这两个大类进行介绍。今天介绍的应用不涉及算法细节(除了能简短介绍清楚的算法),基本上都有源码,参见文末。

 

 

GAN在图像上的应用

 

 

从目前的文献来看,GAN在图像上的应用主要是往图像修改方向发展。涉及的图像修改包括:单图像超分辨率(single image super-resolution)、交互式图像生成、图像编辑、图像到图像的翻译等。

 

单图像超分辨率

单图像超分辨率任务(SISR)就是给定单张低分辨率图像,生成它的高分辨率图像。传统方法一般是插值,但是插值不可避免地会产生模糊。GAN怎么应用到这个任务上去呢?

 

首先,GAN有两个博弈的对手:G(generator)和D(discriminator),容易想到一种可能的方案是:G的输入是低分辨率图像(LR),输出应该是高分辨率图像(HR)。文献[9]正是采用这种做法。作者采用ResNet作为G,网络架构如下图所示:

 

技术分享

对于一批N张图像,G的loss定义为

 

技术分享

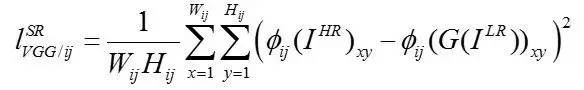
其中,技术分享包含两部分:content loss和adversarial loss。G的loss包含content loss部分,因此G并非完全的非监督,它也用到了监督信息:它强制要求生成图像提取的特征与真实图像提取的特征要匹配,文中用到的特征提取网络为VGG,content loss定义如下:

 

技术分享

而adversarial loss就是我们常见的GAN loss:

 

技术分享

文中采用的技术分享为:

 

技术分享

文献[9]的实验效果如下图所示,可以看出,SRGAN效果比其他方法要好,生成的图像模糊程度更低。代码参见文末的SRGAN。

 

技术分享

此外,还有另外一个文章[3]也做了GAN在SISR上的应用,文中提出了AffGAN。这里不再展开介绍,感兴趣的同学请参看原文。

 

交互式图像生成

这个工作来自于Adobe公司。他们构建了一套图像编辑操作,能使得经过这些操作以后,图像依旧在“真实图像流形”上,因此编辑后的图像更接近真实图像。

具体来说,iGAN的流程包括以下几个步骤:

 

  1. 将原始图像投影到低维的隐向量空间

  2. 将隐向量作为输入,利用GAN重构图像

  3. 利用画笔工具对重构的图像进行修改(颜色、形状等)

  4. 将等量的结构、色彩等修改应用到原始图像上。

 

技术分享

值得一提的是,作者提出G需为保距映射的限制,这使得整个过程的大部分操作可以转换为求解优化问题,整个修改过程近乎实时。细节比较多,这里不再展开,请参考文献[6],代码请参考文末的iGAN。下面的demo经过压缩图像质量比较差,查看清晰版本请移步iGAN的github页面。

 

技术分享

 

图像编辑

GAN也可以应用到图像编辑上,文献[14]提出了IAN方法(Introspective Adversarial Network),它融合了GAN和VAE(variational autoencoder,另一种生成模型)。如果你对VAE、GAN以及它们的融合都比较熟悉,理解IAN应该是很容易的。文章的主要创新在于loss的设计上。

 

技术分享

以下是IAN编辑图像的一个demo,代码可以在文末的IAN部分找到。

 

技术分享

 

图像到图像的翻译

所谓“图像到图像的翻译”( image to image translation),是指将一种类型的图像转换为另一种类型的图像,比如:将草图具象化、根据卫星图生成地图等。文献[7]设计了一种算法pix2pix,将GAN应用到image to image translation上。

作者采用CGAN(conditional GAN,关于CGAN的介绍,参见两周前的推送20170203),将待转换的图像作为condition,加上高斯噪声作为generator的输入,generator将输入转换为我们需要的目标图像,而discriminator判断图像是generator产生的,还是真实的目标图像。为了能让generator产生的图像逼近真实的目标图像,generator的loss还包含目标图像匹配度的惩罚项,采用L1范数,generator的loss设计如下:

 

技术分享

其中,y即为真实的目标图像。

然而,作者在实验中发现,generator会忽略高斯噪声z,而直接根据输入图像x产生目标图像y。为了解决这个问题,作者只在generator的某些层上以dropout的形式加入噪声(training和test时都需要dropout)。代码参见文末的pix2pix,实验效果如下图所示:

 

技术分享

 

 

 

GAN在NLP上的应用

 

 

目前来说GAN在NLP上的应用可以分为两类:生成文本、根据文本生成图像。其中,生成文本包括两种:根据隐向量(噪声)生成一段文本;对话生成。

如果你对GAN在NLP中的应用感兴趣,推荐阅读下面的文章:

http://www.machinedlearnings.com/2017/01/generating-text-via-adversarial-training.html

或者可以查看AI100翻译的版本:

http://mp.weixin.qq.com/s/-lcEuxPnTrQFVJV61MWsAQ

我对NLP的了解比较少,这里只列举其中一部分应用。

 

对话生成

GAN应用到对话生成的例子,可以看这篇文章[2],文末也有相关的代码(参看GAN for Neural dialogue generation)。下图是GAN对话生成算法的伪代码,省略了很多细节:

 

技术分享

实验效果如下图:

 

技术分享

这个工作很有意思。可以看出,生成的对话具有一定的相关性,但是效果并不是很好,而且这只能做单轮对话。

 

文本到图像的翻译

GAN也能用于文本到图像的翻译(text to image),在ICML 2016会议上,Scott Reed等人提出了基于CGAN的一种解决方案[13]:将文本编码作为generator的condition输入;对于discriminator,文本编码在特定层作为condition信息引入,以辅助判断输入图像是否满足文本描述。文中用到的GAN架构如下:

 

技术分享

作者提出了两种基于GAN的算法,GAN-CLS和GAN-INT。GAN-CLS算法如下:

 

技术分享

GAN-INT对多种文本编码做一个加权,在这种设计下,generator的loss为:

 

技术分享

其中,β控制两种文本编码的加权系数。

实验发现生成的图像相关性很高。代码参见文末的text2image。

 

技术分享

 

技术分享

 

此外,GAN还可以跟增强学习(RL)结合。

 

Ian Goodfellow指出,GAN很容易嵌入到增强学习(reinforcement learning)的框架中。例如,用增强学习求解规划问题时,可以用GAN学习一个actions的条件概率分布,agent可以根据生成模型对不同的actions的响应,选择合理的action。

 

GAN与RL结合的典型工作有:将GAN嵌入模仿学习(imitation learning)中[5];将GAN嵌入到策略梯度算法(policy gradient)中[11],将GAN嵌入到actor-critic算法中[15],等。

 

GAN与增强学习结合的相关工作多数在16年才开始出现,GAN和RL属于近年来的研究热点,两者结合预计在接下来的一两年里将得到更多研究者的青睐。

 

 

常见GAN

 

 

最后,作为GAN专题的结尾,我们列举一下目前常见的GAN模型(可以根据arxiv id去寻找、下载文献),欢迎补充。

  • GAN - Ian Goodfellow, arXiv:1406.2661v1

  • DCGAN - Alec Radford & Luke Metz, arxiv:1511.06434

  • CGAN - Mehdi Mirza, arXiv:1411.1784v1

  • LAPGAN - Emily Denton & Soumith Chintala, arxiv: 1506.05751

  • InfoGAN - Xi Chen, arxiv: 1606.03657

  • PPGAN - Anh Nguyen, arXiv:1612.00005v1

  • WGAN - Martin Arjovsky, arXiv:1701.07875v1

  • LS-GAN - Guo-Jun Qi, arxiv: 1701.06264

  • SeqGAN - Lantao Yu, arxiv: 1609.05473

  • EBGAN - Junbo Zhao, arXiv:1609.03126v2

  • VAEGAN - Anders Boesen Lindbo Larsen, arxiv: 1512.09300

......

此外,还有一些在特定任务中提出来的模型,如本期介绍的GAN-CLS、GAN-INT、SRGAN、iGAN、IAN等等,这里就不再列举。

 

 

 

代码

 

 

  • LS-GAN

Torch版本:https://github.com/guojunq/lsgan

  • SRGAN

Tensorflow版本:https://github.com/buriburisuri/SRGAN

Torch版本:https://github.com/leehomyc/Photo-Realistic-Super-Resoluton

Keras版本:https://github.com/titu1994/Super-Resolution-using-Generative-Adversarial-Networks

  • iGAN

Theano版本:https://github.com/junyanz/iGAN

  • IAN

Theano版本:https://github.com/ajbrock/Neural-Photo-Editor

  • Pix2pix

Torch版本:https://github.com/phillipi/pix2pix

Tensorflow版本:https://github.com/yenchenlin/pix2pix-tensorflow

  • GAN for Neural dialogue generation

Torch版本:https://github.com/jiweil/Neural-Dialogue-Generation

  • Text2image

Torch版本:https://github.com/reedscot/icml2016

Tensorflow+Theano版本:https://github.com/paarthneekhara/text-to-image

  • GAN for Imitation Learning

Theano版本:https://github.com/openai/imitation

  • SeqGAN

Tensorflow版本:https://github.com/LantaoYu/SeqGAN 

 

 

 

参考文献

 

 

  1.  Qi G J. Loss-Sensitive Generative Adversarial Networks onLipschitz Densities[J]. arXiv preprint arXiv:1701.06264, 2017.

  2.  Li J, Monroe W, Shi T, et al. Adversarial Learning for NeuralDialogue Generation[J]. arXiv preprint arXiv:1701.06547, 2017.

  3.  S?nderby C K, Caballero J, Theis L, et al. Amortised MAPInference for Image Super-resolution[J]. arXiv preprint arXiv:1610.04490, 2016.

  4.  Ravanbakhsh S, Lanusse F, Mandelbaum R, et al. Enabling DarkEnergy Science with Deep Generative Models of Galaxy Images[J]. arXiv preprintarXiv:1609.05796, 2016.

  5. Ho J, Ermon S. Generative adversarial imitationlearning[C]//Advances in Neural Information Processing Systems. 2016:4565-4573.

  6. Zhu J Y, Kr?henbühl P, Shechtman E, et al. Generative visualmanipulation on the natural image manifold[C]//European Conference on ComputerVision. Springer International Publishing, 2016: 597-613.

  7. Isola P, Zhu J Y, Zhou T, et al. Image-to-image translationwith conditional adversarial networks[J]. arXiv preprint arXiv:1611.07004,2016.

  8. Shrivastava A, Pfister T, Tuzel O, et al. Learning fromSimulated and Unsupervised Images through Adversarial Training[J]. arXivpreprint arXiv:1612.07828, 2016.

  9. Ledig C, Theis L, Huszár F, et al. Photo-realistic singleimage super-resolution using a generative adversarial network[J]. arXivpreprint arXiv:1609.04802, 2016.

  10. Nguyen A, Yosinski J, Bengio Y, et al. Plug & playgenerative networks: Conditional iterative generation of images in latentspace[J]. arXiv preprint arXiv:1612.00005, 2016.

  11. Yu L, Zhang W, Wang J, et al. Seqgan: sequence generativeadversarial nets with policy gradient[J]. arXiv preprint arXiv:1609.05473,2016.

  12. Lotter W, Kreiman G, Cox D. Unsupervised learning of visualstructure using predictive generative networks[J]. arXiv preprintarXiv:1511.06380, 2015.

  13. Reed S, Akata Z, Yan X, et al. Generative adversarial textto image synthesis[C]//Proceedings of The 33rd International Conference onMachine Learning. 2016, 3.

  14. Brock A, Lim T, Ritchie J M, et al. Neural photo editingwith introspective adversarial networks[J]. arXiv preprint arXiv:1609.07093,2016.

  15. Pfau D, Vinyals O. Connecting generative adversarialnetworks and actor-critic methods[J]. arXiv preprint arXiv:1610.01945, 2016.

     

 

 

推荐: 

语义学习-通用智能的切入点-实现路径v0.01

通用智能-基础技术相关文章-CreateAMind公众号精华

 

一起学习讨论:qq群号 325921031;微信群请公众号内留言‘加群’;

更多深度学习干货请扫描下方二维码访问公众号CreateAMind菜单

技术分享

 
技术分享

微信扫一扫
关注该公众号

(转) GAN应用情况调研

标签:代码   做了   generator   交互式   fga   概率   基础   ado   pos   

原文地址:http://www.cnblogs.com/wangxiaocvpr/p/6418210.html

(0)
(0)
   
举报
评论 一句话评论(0
登录后才能评论!
© 2014 mamicode.com 版权所有  联系我们:gaon5@hotmail.com
迷上了代码!