码迷,mamicode.com
首页 > 其他好文 > 详细

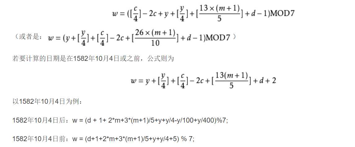
已知日期,O(1)推算周几---蔡勒公式

时间:2017-08-04 21:30:08      阅读:102      评论:0      收藏:0      [点我收藏+]

标签:技术分享   技术   blog   image   alt   .com   日期   png   ima   

技术分享

技术分享

已知日期,O(1)推算周几---蔡勒公式

标签:技术分享   技术   blog   image   alt   .com   日期   png   ima   

原文地址:http://www.cnblogs.com/poler/p/7286929.html

(0)
(0)
   
举报
评论 一句话评论(0
登录后才能评论!
© 2014 mamicode.com 版权所有  联系我们:gaon5@hotmail.com
迷上了代码!