标签:iter date 向量 his div pre length sse using
1.h(θ)函数

2.J(θ)函数

思考一下,在matlab里面怎么表达?如下:

原理如下:(如果你懂了这道作业题,上面的也就懂了)

下面通过图形方式感受一下代价函数 :

3.θ迭代过程(梯度下降)
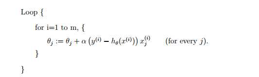
First way:批梯度下降:(编程作业使用这个公式,sum转换同理J(θ))

Second way:随机梯度下降:

好比我们下山,每次在一点环顾四周,往最陡峭的路向下走,用图形的方式更形象的表示 :

4.θ的直接求解法(让代价函数导数为0,求θ值)

1.warmUpExercise.m
function A = warmUpExercise() %WARMUPEXERCISE Example function in octave % A = WARMUPEXERCISE() is an example function that returns the 5x5 identity matrix % ============= YOUR CODE HERE ============== % Instructions: Return the 5x5 identity matrix % In octave, we return values by defining which variables % represent the return values (at the top of the file) % and then set them accordingly. A = eye(5,5); % =========================================== end
2.plotData.m
function plotData(x, y) %PLOTDATA Plots the data points x and y into a new figure % PLOTDATA(x,y) plots the data points and gives the figure axes labels of % population and profit. figure; % open a new figure window % ====================== YOUR CODE HERE ====================== % Instructions: Plot the training data into a figure using the % "figure" and "plot" commands. Set the axes labels using % the "xlabel" and "ylabel" commands. Assume the % population and revenue data have been passed in % as the x and y arguments of this function. % % Hint: You can use the ‘rx‘ option with plot to have the markers % appear as red crosses. Furthermore, you can make the % markers larger by using plot(..., ‘rx‘, ‘MarkerSize‘, 10); plot(x,y, ‘rx‘, ‘MarkerSize‘, 10); xlabel(‘Population of City in 10,000s‘); ylabel(‘Profit in $10,000s‘); % ============================================================ end
3.gradientDescent.m
function [theta, J_history] = gradientDescent(X, y, theta, alpha, num_iters) %GRADIENTDESCENT Performs gradient descent to learn theta % theta = GRADIENTDESENT(X, y, theta, alpha, num_iters) updates theta by % taking num_iters gradient steps with learning rate alpha % Initialize some useful values m = length(y); % number of training examples J_history = zeros(num_iters, 1); for iter = 1:num_iters % ====================== YOUR CODE HERE ====================== % Instructions: Perform a single gradient step on the parameter vector % theta. % % Hint: While debugging, it can be useful to print out the values % of the cost function (computeCost) and gradient here. % % ============================================================
theta = theta - (alpha/m)*X‘*(X*theta-y); % theta 就是用上面的向量表示法的 matlab 语言实现
% Save the cost J in every iteration J_history(iter) = computeCost(X, y, theta); end end
4.computeCost.m
function J = computeCost(X, y, theta) %COMPUTECOST Compute cost for linear regression % J = COMPUTECOST(X, y, theta) computes the cost of using theta as the % parameter for linear regression to fit the data points in X and y % Initialize some useful values m = length(y); % number of training examples % You need to return the following variables correctly J = 0; % ====================== YOUR CODE HERE ====================== % Instructions: Compute the cost of a particular choice of theta % You should set J to the cost. J=1/(2*m)*(X*theta-y)‘*(X*theta-y); % ========================================================================= end
5.运行结果

For population = 35,000, we predict a profit of 4519.767868 For population = 70,000, we predict a profit of 45342.450129

Stanford coursera Andrew Ng 机器学习课程第二周总结(附Exercise 1)
标签:iter date 向量 his div pre length sse using
原文地址:http://www.cnblogs.com/tenderwx/p/7427845.html