标签:估计 sha nbsp 存在 target span 运算 center ref
作者:桂。
时间:2017-09-19 05:15:59
链接:http://www.cnblogs.com/xingshansi/p/7549461.html
一、比如测向原理
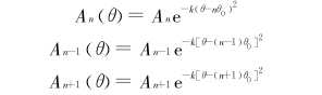
以三波束比幅为例,其中轴线角度分别为

则天线n与左右相邻的天线波束可表述为

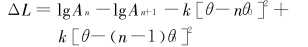
分别取对数运算(L、R原理一致)

进一步


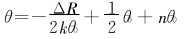
联立得出角度估计

对于边界波束,无法直接通过三波束比幅得出,但可通过联立不同象限的边波束加以解决

测量中,如果存在仰角,则幅度衰减(称其为:圆锥效应),可通过利用其他波束进行角度估计(类似误差修正),例如:

标签:估计 sha nbsp 存在 target span 运算 center ref
原文地址:http://www.cnblogs.com/xingshansi/p/7549461.html