码迷,mamicode.com
首页 > 其他好文 > 详细

Hulu机器学习问题与解答系列 | 十八:SVM – 核函数与松弛变量

时间:2018-02-27 23:35:33      阅读:664      评论:0      收藏:0      [点我收藏+]

标签:shc   分类   dia   注意   限制   sub   http   不同   padding   

嗨,又见面了~ 你可以进入公众号,点击菜单栏的“机器学习”回顾本系列的全部内容,并留言与作者交流。

 

今天的内容是

【SVM – 核函数与松弛变量】

 

场景描述

当我们在SVM中处理线性不可分的数据时,核函数可以对数据进行映射,从而使得原问题在某种度量下具有更为可分的相似度,而通过引入松弛变量,我们可以放弃一些离群点的精确分类来使分类平面不受太大的影响。将这两种技术与SVM结合起来,正是SVM分类器简洁而强大的原因之一。

 

问题描述

  1. 一个使用高斯核

    技术分享图片

    训练的SVM(Support Vector Machine)中,试证明若给定训练集中不存在两个点在同一位置,则存在一组参数{α1, ... αmb}以及参数γ使得该SVM的训练误差为0。

  2. 若我们使用问题1中得到的参数γ训练一个不加入松弛变量的SVM,是否能保证得到的SVM,仍有训练误差为0的结果,试说明你的观点。

  3. 若我们使用SMO(Sequential Minimal Optimization)算法来训练一个带有松弛变量的SVM,并且惩罚因子C为任意事先不知道的常数,我们是否仍能得到训练误差为0的结果,试说明你的观点。

 

先验知识:SVM训练过程、核函数、SMO算法

 

解答与分析

1.

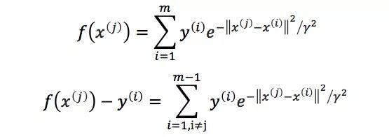
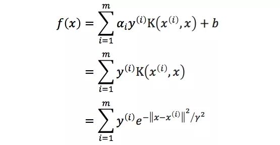
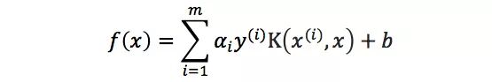
根据SVM的原理,我们可以将SVM的预测公式可写为下式:

技术分享图片

其中{(x(1)y(1)), …, (x(m)y(m))}为训练样本,而{α1, …, αmb}以及高斯核参数γ则为训练样本的参数,根据题意我们可以得到对于任意的i≠j 我们有‖x(i)x(j)‖≥ε,我们可以直接对任意i,取αi=1,b=0,则有

技术分享图片

将任意x(j)代入则有

技术分享图片

注意到y(i)∈{1, ﹣1}

技术分享图片

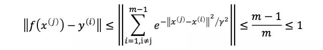
由题意知‖x(i)x(j)‖≥ε,取γ=ε/㏒1/2m

技术分享图片

故有

技术分享图片

可知对于任意x(j),预测结果与样本的距离不超过1,则训练误差为0。

 

2.

我们能得到训练误差为0的分类器,我们仅需要证明解存在即可。考虑SVM推导中的限制y(i)(wTx(i)b)≥1,与上一问相同,我们取b=0,那么则有y(i)·f(x(j))>0,由上问,我们有

技术分享图片

所以一个可行解在将所有αi取到足够大时(这里改变αi的取值并不会影响上一问的结论),我们可得到y(i)(wTx(i)b)≥1,则得到一个可行解,那么最优解的训练误差仍为0。

 

3.

我们的分类器并不一定能得到0训练误差,因为我们的优化目标改变了,并不再是训练误差最小,考虑我们优化的结果实际上包含两项

技术分享图片

可知当我们的参数C选取较小的值时,我们就可以得出后一正则项将占据优化的较大比重,那么一个带有训练误差,但是参数较小的点将成为更优的结果,例如当C取0时,w也可取0即可达到优化目标,但是显然这样我们的训练误差不一定能达到0。

 


 

下一题预告

【主题模型】

 

场景描述

基于Bag-Of-Words(或N-gram)的文本表示模型有一个明显的缺陷,就是无法识别出不同的词(或词组)具有相同主题的情况。我们需要一种技术能够将具有相同主题的词(或词组)映射到同一维度上去,于是产生了主题模型(Topic Model)。主题模型是一种特殊的概率图模型。想象一下我们如何判定两个不同的词具有相同的主题呢?这两个词可能有更高的概率出现在同一主题的文档中;换句话说,给定某一主题,这两个词的产生概率都是比较高的,而另一些不太相关的词产生的概率则是较低的。假设有K个主题,我们可以把任意文章表示成一个K维的主题向量,其中向量的每一维代表一个主题,权重代表这篇文章属于该主题的概率。主题模型所解决的事情,就是从语料库中发现有代表性的主题(得到每个主题上面词的分布),并且计算出每篇文章对应着哪些主题。这样具有相似主题的文章拥有相似的主题向量表示,从而能够更好地表示文章的语义,提高文本分类、信息检索等应用的效果。

 

问题描述

1. 常见的主题模型有哪些?试介绍其原理。

2. 如何确定LDA模型中的主题个数?

Hulu机器学习问题与解答系列 | 十八:SVM – 核函数与松弛变量

标签:shc   分类   dia   注意   限制   sub   http   不同   padding   

原文地址:https://www.cnblogs.com/peizhe123/p/8481098.html

(0)
(0)
   
举报
评论 一句话评论(0
登录后才能评论!
© 2014 mamicode.com 版权所有  联系我们:gaon5@hotmail.com
迷上了代码!