码迷,mamicode.com
首页 > 其他好文 > 详细

梯度下降法的三种形式BGD、SGD以及MBGD

时间:2018-06-11 12:00:09      阅读:181      评论:0      收藏:0      [点我收藏+]

标签:http   padding   对比   use   需要   ast   假设   strong   4th   

 

阅读目录

  • 1. 批量梯度下降法BGD

  • 2. 随机梯度下降法SGD

  • 3. 小批量梯度下降法MBGD

  • 4. 总结

在应用机器学习算法时,我们通常采用梯度下降法来对采用的算法进行训练。其实,常用的梯度下降法还具体包含有三种不同的形式,它们也各自有着不同的优缺点。

下面我们以线性回归算法来对三种梯度下降法进行比较。

一般线性回归函数的假设函数为:

 

技术分享图片

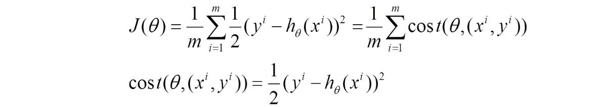
技术分享图片对应的能量函数(损失函数)形式为:

技术分享图片

下图为一个二维参数(θ0和θ1)组对应能量函数的可视化图:

技术分享图片技术分享图片

1 批量梯度下降法BGD

 

批量梯度下降法(Batch Gradient Descent,简称BGD)是梯度下降法最原始的形式,它的具体思路是在更新每一参数时都使用所有的样本来进行更新,其数学形式如下:

(1) 对上述的能量函数求偏导:

技术分享图片

(2) 由于是最小化风险函数,所以按照每个参数θ的梯度负方向来更新每个θθ: θ的梯度负方向来更新每个θ:θ:

技术分享图片

具体的伪代码形式为:

技术分享图片

从上面公式可以注意到,它得到的是一个全局最优解,但是每迭代一步,都要用到训练集所有的数据,如果样本数目mm很大,那么可想而知这种方法的迭代速度!所以,这就引入了另外一种方法,随机梯度下降。

优点:全局最优解;易于并行实现;

缺点:当样本数目很多时,训练过程会很慢。

从迭代的次数上来看,BGD迭代的次数相对较少。其迭代的收敛曲线示意图可以表示如下:

技术分享图片

2 批量梯度下降法SGD

 

 

由于批量梯度下降法在更新每一个参数时,都需要所有的训练样本,所以训练过程会随着样本数量的加大而变得异常的缓慢。随机梯度下降法(Stochastic Gradient Descent,简称SGD)正是为了解决批量梯度下降法这一弊端而提出的。

将上面的能量函数写为如下形式:

技术分享图片

利用每个样本的损失函数对θ求偏导得到对应的梯度,来更新θ:

θ:

技术分享图片

具体的伪代码形式为:

技术分享图片

技术分享图片

随机梯度下降是通过每个样本来迭代更新一次,如果样本量很大的情况(例如几十万),那么可能只用其中几万条或者几千条的样本,就已经将theta迭代到最优解了,对比上面的批量梯度下降,迭代一次需要用到十几万训练样本,一次迭代不可能最优,如果迭代10次的话就需要遍历训练样本10次。

 

但是,SGD伴随的一个问题是噪音较BGD要多,使得SGD并不是每次迭代都向着整体最优化方向。

优点:训练速度快;

缺点:准确度下降,并不是全局最优;不易于并行实现。

从迭代的次数上来看,SGD迭代的次数较多,在解空间的搜索过程看起来很盲目。其迭代的收敛曲线示意图可以表示如下:

技术分享图片

3  小批量梯度下降法MBGD

 

有上述的两种梯度下降法可以看出,其各自均有优缺点,那么能不能在两种方法的性能之间取得一个折衷呢?

 

即,算法的训练过程比较快,而且也要保证最终参数训练的准确率,而这正是小批量梯度下降法(Mini-batch Gradient Descent,简称MBGD)的初衷。

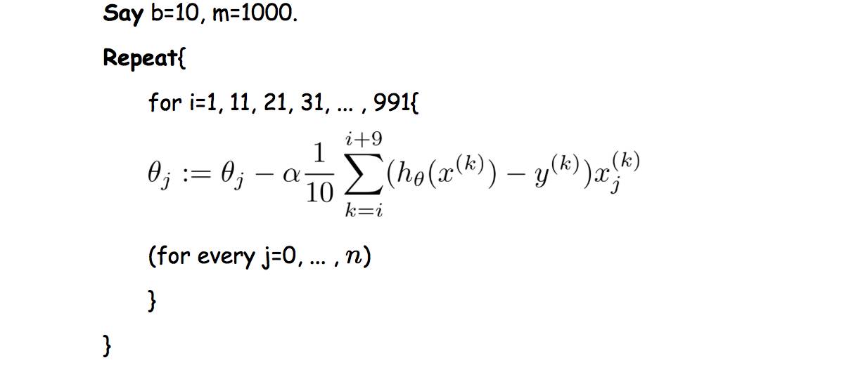
MBGD在每次更新参数时使用b个样本(b一般为10),其具体的伪代码形式为:

技术分享图片

4 总结

 

Batch gradient descent: Use all examples in each iteration;

Stochastic gradient descent: Use 1 example in each iteration;

Mini-batch gradient descent: Use b examples in each iteration.

推荐阅读:

为什么要对数据进行归一化处理?

logistic函数和softmax函数

视频讲解|为什么神经网络参数不能全部初始化为全0

原文链接:https://mp.weixin.qq.com/s/fXlbB7KmiX0iIv6xwSxNIA

梯度下降法的三种形式BGD、SGD以及MBGD

标签:http   padding   对比   use   需要   ast   假设   strong   4th   

原文地址:https://www.cnblogs.com/onemorepoint/p/9166247.html

(0)
(0)
   
举报
评论 一句话评论(0
登录后才能评论!
© 2014 mamicode.com 版权所有  联系我们:gaon5@hotmail.com
迷上了代码!