码迷,mamicode.com
首页 > 其他好文 > 详细

教师资格证笔试大纲《数学学科知识与教学能力》(高级中学)

时间:2020-02-20 23:48:28      阅读:68      评论:0      收藏:0      [点我收藏+]

标签:了解   连续   apt   回顾   技能   选择   价值观   不等式   备课   

  《数学学科知识与教学能力》(高级中学)

一、考试目标

1.数学学科知识的掌握和运用。掌握大学本科数学专业基础课程的知识和高中数学知识。具有在高中数学教学实践中综合而有效地运用这些知识的能力。

2.高中数学课程知识的掌握和运用。理解高中数学课程的性质、基本理念和目标,熟悉《普通高中数学课程标准(实验)》(以下简称《课标》)规定的教学内容和要求。

3. 数学教学知识的掌握和应用。理解有关的数学教学知识,具有教学设计、教学实施和教学评价的能力。

二、考试内容模块与要求

1.学科知识

数学学科知识包括大学本科数学专业基础课程和高中课程中的数学知识。

大学本科数学专业基础课程的知识是指:数学分析、高等代数、解析几何、概率论与数理统计等大学课程中与中学数学密切相关的内容,包括数列极限、函数极限、连续函数、一元函数微积分、向量及其运算、矩阵与变换等内容及概率与数理统计的基础知识。

其内容要求是:准确掌握基本概念,熟练进行运算,并能够利用这些知识去解决中学数学的问题。

高中数学知识是指《课标》中所规定的必修课全部内容、选修课中的系列1、2的内容以及选修3—1(数学史选讲),选修4—1(几何证明选讲)、选修4—2(矩阵与变换)、选修4—4(坐标系与参数方程)、选修4—5(不等式选讲)。

其内容要求是:理解高中数学中的重要概念,掌握高中数学中的重要公式、定理、法则等知识,掌握中学数学中常见的思想方法,具有空间想象、抽象概括、推理论证、运算求解、数据处理等基本能力以及综合运用能力。

2.课程知识

了解高中数学课程的性质、基本理念和目标。

熟悉《课标》所规定教学内容的知识体系,掌握《课标》对教学内容的要求。

了解《课标》各模块知识编排的特点。

能运用《课标》指导自己的数学教学实践。

3.教学知识

了解包括备课、课堂教学、作业批改与考试、数学课外活动、数学教学评价等基本环节的教学过程。

掌握讲授法、讨论法、自学辅导法、发现法等常见的数学教学方法。

掌握概念教学、命题教学等数学教学知识的基本内容。

掌握合作学习、探究学习、自主学习等中学数学学习方式。

掌握数学教学评价的基本知识和方法。

4.教学技能

(1)教学设计

能够根据学生已有的知识水平和数学学习经验,准确把握所教内容与学生已学知识的联系。

能够根据《课标》的要求和学生的认知特征确定教学目标、教学重点和难点。

能正确把握数学教学内容,揭示数学概念、法则、结论的发展过程和本质,渗透数学思想方法,体现应用与创新意识。

能选择适当的教学方法和手段,合理安排教学过程和教学内容,在规定的时间内完成所选教学内容的教案设计。

(2)教学实施

能创设合理的数学教学情境,激发学生的数学学习兴趣,引导学生自主探索、猜想和合作交流。

能依据数学学科特点和学生的认知特征,恰当地运用教学方法和手段,有效地进行数学课堂教学。

能结合具体数学教学情境,正确处理数学教学中的各种问题。

(3)教学评价

能采用不同的方式和方法,对学生知识与技能、过程与方法和情感、态度与价值观等方面进行恰当地评价。

能对教师数学教学过程进行评价。

能够通过教学评价改进教学和促进学生的发展。

三 、 试卷结构

模  块

比  例

题  型

学科知识

41%

单项选择题

简  答  题

解  答  题

课程知识

18%

单项选择题

简  答  题

论  述  题

教学知识

8%

单项选择题

简  答  题

教学技能

33%

案例分析题

教学设计题

合  计

100%

单 项 选 择 题 : 约27%

非 选  择  题 : 约73%

四、题型示例

1.单项选择题

技术图片

 

 

(2) 在高中数学教学中,课堂小结的方式多种多样。有一种常见的小结方式是:结合板书内容梳理本课教学重点和难点的学习思路,同时提醒学生课下复习其中的要点。这种小结方式的作用在于

A.升华情感,引起共鸣 B.点评议论,提高认识

C.巧设悬念,激发兴趣 D.总结回顾,强化记忆

(3)在高等代数中,有一种线性变换叫做正交变换,即不改变任意两点距离的变换。下列变换中不是正交变换的是

A. 平移变换 B. 旋转变换

C. 反射变换 D. 相似变换

2.简答题

(1)根据下图编一道函数的应用问题

技术图片

 

(2)一位教师讲了一堂公开课《函数》,多数听课教师认为他讲出了函数概念的本质,但课堂教学有效性不足,突出表现在课堂提问方面。你认为应注意哪些问题才能提高课堂提问的有效性(请结合自己对《函数》的教学设想来谈)?

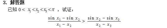
3.解答题

技术图片

 

4.论述题

在必修模块中,将平面解析几何内容放在函数与立体几何之后,对这种安排谈谈你的看法。

技术图片
技术图片

6.教学设计题

就高中数学“人教版教材”必修1第一单元中的函数概念第一课时的内容,设计一个教学方案(将提供教材内容)。

教师资格证笔试大纲《数学学科知识与教学能力》(高级中学)

标签:了解   连续   apt   回顾   技能   选择   价值观   不等式   备课   

原文地址:https://www.cnblogs.com/Teacher-Lu/p/12338923.html

(0)
(0)
   
举报
评论 一句话评论(0
登录后才能评论!
© 2014 mamicode.com 版权所有  联系我们:gaon5@hotmail.com
迷上了代码!